组装拆卸

组装拆卸

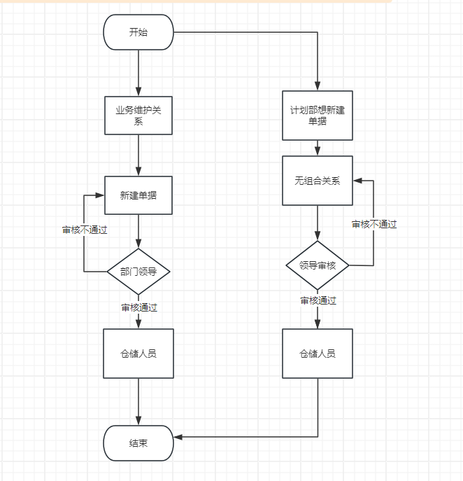
操作流程

组装拆卸

操作说明

业务对组合产品进行产品对应关系的维护管理

  1. 维护关系

组装拆卸
2. 新建组合/拆卸
2.1 业务创建
组装拆卸
组装拆卸
2.2 计划部创建无组合关系
组装拆卸
组装拆卸
3. 仓储人员操作
 根据单据状态 审核中、处理中、审核完成,处理中 进行拆分
组装拆卸
完成组装拆卸
 状态为审核完成、处理中
组装拆卸